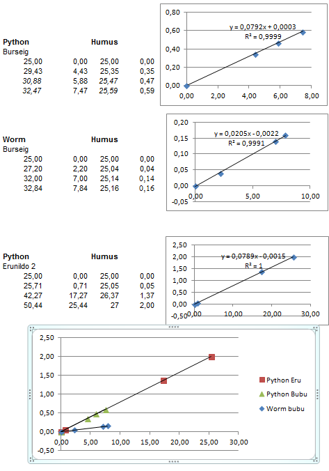
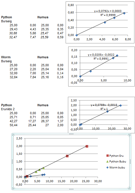
More maths?
So here is some datas form my worms/pythons and Eruldino pythons.
Everything is linear. But equations of worm impact and python impact are different.
In fact (I don't show it here) Pythons are just 4 times more efficient than a worm. For example a 27.00 python (25+2) will produce same humus as a 33.00 worm (25+8).
Equations are not totallly exact because of rounded values (we only have 2 decimals) but the idea is here.

- humus2.PNG (32.94 KiB) Viewed 3884 times
This is easy stuff because it's only one worm in the bin each time.
I tried to add 2 pythons in one bin, their contributions seems to add.
I need more work to understand what happens when you mix pythons and worms, and when you have 100% efficiency or when you don't.
And by the way, my apologies for a wrong statement,
Newly spawn neutral worm in a bin will affect (and reduce) humus purity. I noticed that aswell.